DRBF Model Documents - Australia, New Zealand

Get sample DB documents for meetings and clauses here. These documents can be customized as necessary and are in Word format.

 

Pro Forma DAB Meeting #1 Agenda
48.5 KB
Pro Forma DAB Meeting Minutes #1
88 KB
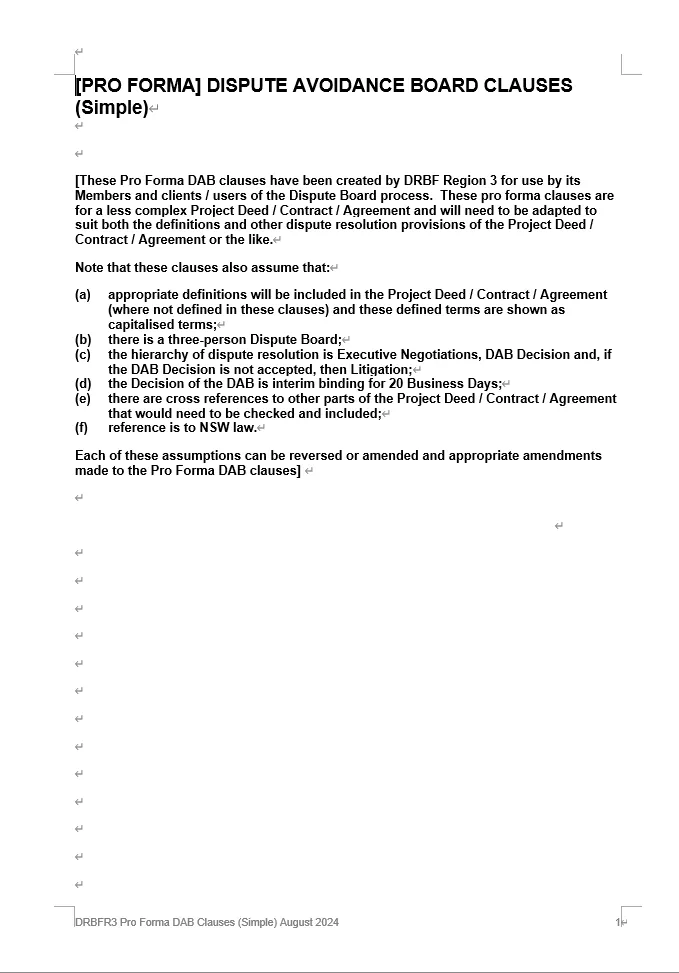
Pro Forma DAB Clauses (Simple)
56.41 KB
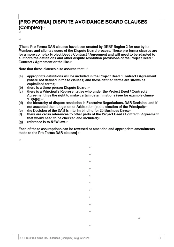
Pro Forma DAB Clauses (Complex)
57.68 KB
Pro Forma DAB Agreement (One Person)
75.34 KB
Pro Forma DAB Agreement
94.36 KB
Dispute Board Process Summary
134.46 KB